Re: Велосипедная астрономия — звёзды, системы, и что их связывает — цепи.

NOT пишет:

Например, вот тут есть все данные для любой звезды.

пошёл изучать

(20-09-2018 14:11:25 отредактировано Snj)

Re: Велосипедная астрономия — звёзды, системы, и что их связывает — цепи.

NOT, очень полезная, но перегруженная статья
А кто то может подсказать формулу для расчёта межосевого расстояния для нормального провиса, зная шаг цепи и кол-во зубьев каждой из них?

Вот кстати ещё полезная ссылочка
Полезная особенно для тех, у кого дропы без возможности смесить колесо, но хочеться синглспид)
http://eehouse.org/fixin/formfmu.php

Онлайн калькулятор, по итогу расчётов имеем такую картину:
Велосипедная астрономия — звёзды, системы, и что их связывает — цепи.

Условно пилотируемый вело-диверсионный модуль "Семен-1"
Мой террариум

Re: Велосипедная астрономия — звёзды, системы, и что их связывает — цепи.

NOT пишет:

чи у прокуреної?..


конечно у этой??
извините, что сразу не пояснил.
Какой у неё диаметр в мм, если срезать зубъя??
т.е. по впадинам.

Re: Велосипедная астрономия — звёзды, системы, и что их связывает — цепи.

1. Считаем количество зубьев
2. Умножаем на 12,7
3..Делим на 3,14
4. Из полученного отнимаем 8 мм  — получаем диаметр "ступицы"

Лайфхак универсальный img/ag

Добавлено: 20-09-2018 14:54:12

img/bj  img/an  Попутал пункты местами. Сейчас правильно.

Мой гараж
Мастер спорта по езде за хлебушком на велосипеде.
Если не я построил велосипед — это не мой велосипед.

Re: Велосипедная астрономия — звёзды, системы, и что их связывает — цепи.

алекса пишет:

Пошёл изучать…

Вообще-то, всё это базируется на известном документе.

ГОСТ 591-69. Звёздочки к приводным роликовым и втулочным цепям. Методы расчёта и построения профиля зуба и инструмента.

Добавлено: 20-09-2018 15:00:16

алекса пишет:

Какой у неё диаметр в мм, если срезать зубъя?..

Конкретно у 19-зубцовой диаметр по впадинам 69,271 мм.

«Зелёная Леди» • ЗИФ В-21В (1969 г.) | «Лисапетка» • ХВЗ В-555 (1971 г.)
«Чёрный Грач» • ХВЗ В-120 (1961 г.) | «Безымянный» • ХВЗ В-39 (1971 г.)

(21-09-2019 23:25:49 отредактировано алекса)

Re: Велосипедная астрономия — звёзды, системы, и что их связывает — цепи.

kisa пишет:

Ещё момент. При такой зверской обратной передаче, как Вы говорите, для приведения ножного тормоза в действие понадобится чуть не полный оборот педалей! 


Только не кидайте тапками, --идея приснилась.
Мы-же можем обмануть Энштейна, поставив на перед(то место,  где передняя звезда с шатунами),
Поставив на перёд, --заднюю втулку с тормозом
Надо смотреть будет конструкцию  задней втулки , можно-ли в неё вживить, ось под крепление шатунов??.
Если получится, то не придётся вращать назад педали, со скоростью морского штурвала, чтобы затормозить.
Всё будет тормозить, как обычно. только тормозить будет не задней втулкой а передней.
Но ЭТО, не для этой темы, наверное.
\\\\\\\\\\\\\\\\\\\\\\
  Вопрос,--
-- на сколько зубьев, максимально, бывают в продаже, задние звёзды, под втулку  с тормозом??
Т.е. под обычную посадку с тремя лапками. Нащёл,  пока на 23.

Re: Велосипедная астрономия — звёзды, системы, и что их связывает — цепи.

Чем Вас не устраивают ободные тормоза? А дисковые? А барабанные? А ленточные?

Вообще втулка "торпедо" не предназначена нести нагрузку от педалирования, у неё тонкий вал и несимметричное относительно продольной оси велосипеда устройство. Перенести механизм "торпедо" в каретку, чтобы на фиксе тормозить им — не выйдет, не удастся добиться хода педалей назад. Хотя использовать механизм, тормозящий на фиксе кареточный вал — идея оригинальная. Некоторые деятели ставят дисковый тормоз на переднюю звезду фикса.

Может лучше не мудрить и сделать фиксЪ? Жестко связать заднее колесо и заднюю звезду. Тем более, что передаточное маленькое, с любой горки ноги догонят колесо. На фиксе и меньше сил нужно тратить при езде.

А когда водка закончилась, мы обезжиривали резьбы пятилетним коньяком.
I tried [соха] And got [софа]
Мой гараж

Re: Велосипедная астрономия — звёзды, системы, и что их связывает — цепи.

алекса, напуркуа это все? Пол форума мозг сломали.

Diesel power

Re: Велосипедная астрономия — звёзды, системы, и что их связывает — цепи.

Eclipse, Оооо, думал один я ночами плохо сплю img/ag

Re: Велосипедная астрономия — звёзды, системы, и что их связывает — цепи.

алекса пишет:

Вопрос,--
-- на сколько зубьев, максимально, бывают в продаже, задние звёзды, под коретку с тормозом??
Т.е. под обычную посадку с тремя лапками. Нащёл,  пока на 23.

На 26. Но они не закаленые, и приходится их крепить на обычную малую заднюю закаленую звездочку.

Пользователь находится в режиме "только для чтения".

Re: Велосипедная астрономия — звёзды, системы, и что их связывает — цепи.

LjAlex пишет:

Eclipse, Оооо, думал один я ночами плохо сплю

а я говорил , а я говорил....
я тоже не сплю img/ag

(21-09-2018 09:57:12 отредактировано NOT)

Re: Велосипедная астрономия — звёзды, системы, и что их связывает — цепи.

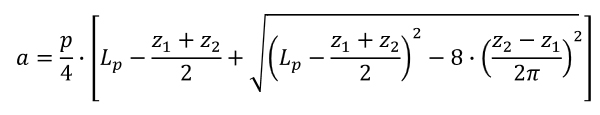
Вот, кстати. Формула расчёта количества звеньев цепи:

Велосипедная астрономия — звёзды, системы, и что их связывает — цепи.

Здесь:

Lp — «теоретическое» количество звеньев цепи.
a — межосевое расстояние, в миллиметрах (Sic!)
p — шаг цепи. В нашем случае — 12,7 мм
z1 — количество звеньев ведущей (большой или передней) звезды
z2 — количество звеньев ведомой (малой или задней) звезды

Полученное значение следует округлить до ближайшего чётного значения.

Snj пишет:

А кто то может подсказать формулу для расчёта межосевого расстояния для нормального провиса, зная шаг цепи и кол-во зубьев каждой из них?..

Мне пока лениво было разбираться (точнее, проверить, всё ли там нормально и соответствует действительности), но все сведения (в том числе основы для показанной выше формулы) изложены в хорошей методической работе «Расчёт цепных передач».

Уточняющая формула для межосевого расстояния выглядит так:

Велосипедная астрономия — звёзды, системы, и что их связывает — цепи.

Upd: с верхней формулой разбирался, проверил на своём веле. Получилось всё правильно. В указанной методичке есть оговорка, что межосевое расстояние следует принимать в метрах. Это так, если и шаг цепи принимать в метрах! Так что считайте всё в миллиметрах.

«Зелёная Леди» • ЗИФ В-21В (1969 г.) | «Лисапетка» • ХВЗ В-555 (1971 г.)
«Чёрный Грач» • ХВЗ В-120 (1961 г.) | «Безымянный» • ХВЗ В-39 (1971 г.)

Re: Велосипедная астрономия — звёзды, системы, и что их связывает — цепи.

NOT, не будет третье слагаемое отрицательным.
По двум причинам. Квадрат если в лоб.
А еще формула поедполагает, что расчет для нормальной системы а не системы курильщика и ведущая всегда брльше ведомой. Оставить  в описании что z1 -большая а z2-меньшая что бы не путаться.

Everything's gonna be just fine!

Re: Велосипедная астрономия — звёзды, системы, и что их связывает — цепи.

Bob пишет:

По двум причинам. Квадрат если в лоб…

Да я как отправил сообщение, и сам понял, что затупил изрядно. img/ab

В общем, всё нормально с формулой, она рабочая. Ничего менять и не надо. Ну да, z1 — большая (передняя, ведущая), z2 — маленькая (задняя, ведомая).

«Зелёная Леди» • ЗИФ В-21В (1969 г.) | «Лисапетка» • ХВЗ В-555 (1971 г.)
«Чёрный Грач» • ХВЗ В-120 (1961 г.) | «Безымянный» • ХВЗ В-39 (1971 г.)

Re: Велосипедная астрономия — звёзды, системы, и что их связывает — цепи.

img/off  img/off  img/off
Рига 13 тормозит педалями назад. Как приснилось коллеге алекса, механизм встроен в каретку. Из нё торчит рычаг с тягой, тяга приводит барабанный тормоз. Что там внутри — не в курсе, у меня был другой мотовелосипед и педали на них — ненужная фигня.

По цепной передаче мы уже пересмотрели всё, что можно и не можно.

Предлагаю прекратить обсуждение неизвестно чего для непонятной цели с неизвестным передаточным отношением.

Поводом к дальнейшему разговору предлагаю считать либо чёткое ТЗ (зачем это), либо, хотябы, пробную поездку коллеги алекса на ашане на самой низкой передаче — которая уже отрицательная.  В самостоятельый теоретический выбор правильной передачи коллегой я НЕ ВЕРЮ. Оязательно будет какая-то фигня.

Мой гараж
Мастер спорта по езде за хлебушком на велосипеде.
Если не я построил велосипед — это не мой велосипед.